Future value of annuity payments and (optional) initial lump sum receipt.
Syntax: @fv(r, n, x[, v, bf])
r: number
n: integer
x: number
v: (optional) number
bf: (optional) number
Return: number
Compute future (negative) value of payment of an n-period annuity, with payments x and rate r, and optional receipt of (positive) initial lump sum v.
If
n is not an integer, the integer floor

will be used.
A non-zero value for the optional bf indicates that the payments are made at the beginning of periods (annuity due) instead of ends (ordinary annuity).
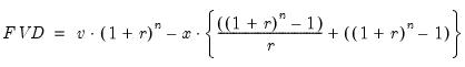
• The future value of an initial lump sum followed by n-periods of ordinary annuity payments:
• The future value of an initial lump sum followed by annuity due payments is:
Examples
= @fv(0.05, 10, 100, 1000)
returns the value 371.1054, meaning that the issuer of the annuity stands to profit $371.11 once payments are done.
Cross-references
See also
@nper,
@pmt,
@pv, and
@rate.