Command Reference : Function Reference : Function Reference: N
  
 
@nper
Number of periods for annuity to pay given present value.
Syntax: @nper(r, x, pv[, v, bf])
r: number
x: number
pv: number
v: (optional) number
bf: (optional) number
Return: integer
Find the number of periods n required to receive at least the present value pv from an n-period annuity, with receipts x and discount rate r, and optional receipt of a final lump sum v.
A non-zero value for the optional bf indicates that the receipts are made at the beginning of periods (annuity due) instead of ends (ordinary annuity).
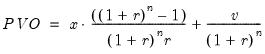
The present value of by n-periods of ordinary annuity receipts and a final lump sum is:
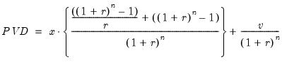
The present value of n-periods of annuity due receipts and a final lump sum is:
Then for a given PVO or PVD and annuity type, the function returns the smallest n required to exceed the required value.
Examples
= @nper(0.05, 100, 1000)
returns the value 14.20670, indicating that a 15-period annuity that pays $100 per period has a present value greater than $1000 assuming the discount rate of 5%.
Cross-references
See also @fv, @pmt, @pv, and @rate.