Command Reference : Function Reference : Function Reference: P
  
 
@pmt
Payment amount required for annuity to pay given present value.
Syntax: @pmt(r, n, pv[, v, bf])
r: number
n: integer
pv: number
v: (optional) number
bf: (optional) number
Return: number
Find the receipt amount x required to produce at least the present value pv from an n-period annuity, with discount rate r, and optional receipt of a final lump sum v.
A non-zero value for the optional bf indicates that the receipts are made at the beginning of periods (annuity due) instead of ends (ordinary annuity).
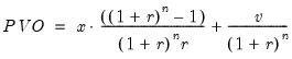
The present value of by n-periods of ordinary annuity receipts and a final lump sum is:
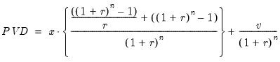
The present value of n-periods of annuity due receipts and a final lump sum is:
Then for a given PVO or PVD and annuity type, the function returns the smallest x required for the present values to exceed the required value.
Examples
= @pmt(0.05, 10, 1000)
returns the value 129.5046, indicating that a 10-period annuity that pays $129.50 per period has a present value of around $1000 assuming the discount rate of 5%.
Cross-references
See also @fv, @nper, @pv, and @rate.