Present value of annuity receipts and (optional) final lump sum receipt.
Syntax: @pv(r, n, x[, v, bf])
r: number
n: integer
x: number
v: (optional) number
bf: (optional) number
Return: number
Compute present value of receipt of an n-period annuity, with receipts x and discount rate r, and optional receipt of a final lump sum v.
If
n is not an integer, the integer floor

will be used.
A non-zero value for the optional bf indicates that the receipts are made at the beginning of periods (annuity due) instead of ends (ordinary annuity).
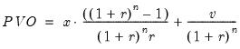
• The present value of by n-periods of ordinary annuity receipts and a final lump sum is:
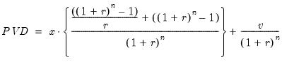
• The present value of n-periods of annuity due receipts and a final lump sum is:
Examples
= @pv(0.05, 15, 100)
returns the value 1037.966, indicating that a 15-period annuity that pays $100 per period has a present value of $1037.97 assuming the discount rate of 5%.
Cross-references
See also
@fv,
@nper,
@pmt, and
@rate.