Command Reference
:
Function Reference
:
Function Reference: C
@cchisq
Element Functions
Chi-square cumulative distribution.
Syntax:
@cchisq
(
x, v[, u])
x
: number
v
: number,
u
: (optional) number
Return: number
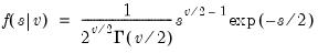
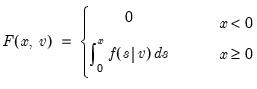
Computes the cumulative distribution function
where
If the optional argument
u
is non-zero, return the upper-tail value:
.
Examples
= @cchisq(100, 100)
returns 0.51880....
Cross-references
See also
@chisq
,
@dchisq
,
@qchisq
, and
@rchisq
.