Command Reference
:
Function Reference
:
Function Reference: C
@chisq
Element Functions
Upper tail of the Chi-square distribution.
Syntax:
@chisq
(
x, v)
x
: number
v
: number,
Return: number
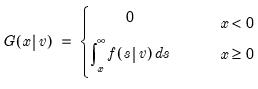
Returns the probability that a Chi-squared statistic with
degrees of freedom exceeds
.
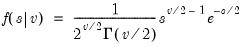
Computes the upper tail of the cumulative distribution function
where
Examples
= @chisq(100, 100)
returns 0.48119....
Cross-references
See also
@cchisq
,
@dchisq
,
@qchisq
, and
@rchisq
.