Command Reference
:
Function Reference
:
Function Reference: D
@dchisq
Element Functions
Chi-square probability density.
Syntax:
@dchisq
(
x, v)
x
: number
v
: number,
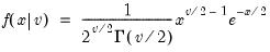
Return: number
Evaluates the probability density function,
for
or 0 elsewhere.
Examples
= @dchisq(100, 100)
returns 0.02816....
Cross-references
See also
@cchisq
,
@chisq
,
@qchisq
, and
@rchisq
.