Chi-square distribution random draw.
Syntax: @rchisq(v)
v: number,

Return: number
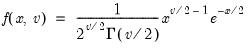
Draw a random value from the chi-square distribution with density function,
Examples
= @rchisq(10)
returns a random draw from the chi-square distribution with 10 degrees of freedom.
Cross-references