Command Reference
:
Function Reference
:
Function Reference: Q
@qchisq
Element Functions
Chi-square distribution quantile.
Syntax:
@qchisq
(
p, v)
p
: number,
v
: number,
Return: number
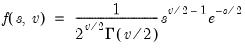
Find the
x
satisfying
where
Examples
= @qchisq(0.5, 100)
returns 99.33412....
Cross-references
See also
@cchisq
,
@chisq
,
@dchisq
, and
@rchisq
.