Command Reference
:
Function Reference
:
Function Reference: C
@cfdist
Element Functions
F-distribution cumulative distribution.
Syntax:
@cfdist
(
x,
,
[, u])
x
: number
: number,
: number,
u
: (optional) number
Return: number
Probability that an
F
-statistic with
numerator degrees of freedom and
denominator degrees of freedom exceeds
.
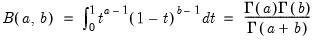
Computes the cumulative distribution integral
where
for
and 0 otherwise, and
is the beta function
Note that the functions allow for fractional degrees of freedom parameters
and
.
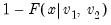
If the optional argument
u
is non-zero, return the upper-tail value:
.
Examples
= @cfdist(1, 2, 2)
returns 0.5.
Cross-references
See also
@fdist
,
@dfdist
,
@qfdist
, and
@rfdist
.