Command Reference
:
Function Reference
:
Function Reference: Q
@qfdist
Element Functions
F-distribution quantile.
Syntax:
@qfdist
(
p,
,
)
p
: number
: number,
: number,
Return: number
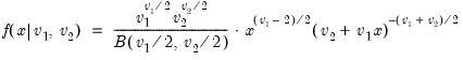
For
, find the
x
satisfying
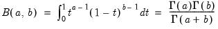
where,
for
and 0 otherwise, and
is the beta function
Examples
= @qfdist(0.5, 2, 2)
returns 1.
Cross-references
See also
@cfdist
,
@fdist
,
@dfdist
, and
@rfdist
.