Command Reference
:
Function Reference
:
Function Reference: D
@dfdist
Element Functions
F-distribution probability density.
Syntax:
@dfdist
(
x,
,
)
x
: number
: number,
: number,
Return: number
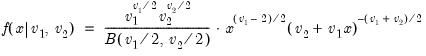
Evaluates the probability density function,
for
and 0 otherwise, where
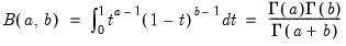
is the beta function
Note that the functions allow for fractional degrees of freedom parameters
and
.
Examples
= @dfdist(1, 2, 2)
returns 0.25.
Cross-references
See also
@cfdist
,
@fdist
,
@qfdist
, and
@rfdist
.