F-distribution random draw.
Syntax:
@rfdist(
,
) 
: number,


: number,

Return: number
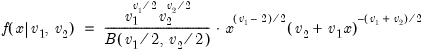
Draw a random value from the F-distribution with density function,
for

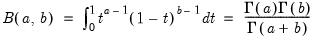
and 0 otherwise, where

is the beta function,
Examples
= @rfdist(2, 2)
returns a random draw from the F-distribution with numerator and denominator degrees of freedom 2.
Cross-references