Command Reference
:
Function Reference
:
Function Reference: F
@fdist
Element Functions
Upper tail of F-distribution.
Syntax:
@fdist
(
x,
,
)
x
: number
: number,
: number,
Return: number
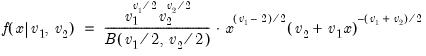
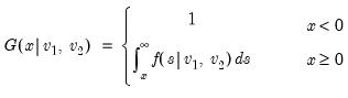
Computes the upper tail of the cumulative distribution integral
where
for
and 0 otherwise, and
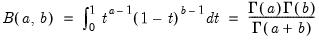
is the beta function
Note that the functions allow for fractional degrees of freedom parameters
and
.
Examples
= @fdist(1, 2, 2)
returns 0.5.
Cross-references
See also
@cfdist
,
@dfdist
,
@qfdist
, and
@rfdist
.