Command Reference : Function Reference : Function Reference: L
  
 
@logit
Logistic transform.
Syntax: @logit(x[, u])
x: number
u: (optional) number
Return: number
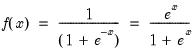
Computes the logistic function:
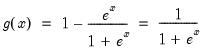
If the optional argument u is non-zero, return the upper-tail value:
Examples
= @logit(.3)
returns 0.57444.
= @logit(.3, 1)
returns 0.42556.
Cross-references
See also @clogistic, @dlogistic, @qlogistic, and @rlogistic.